团队主要致力于冲击与爆炸力学、结构动力学、疲劳与断裂力学、复合材料细观力学、智能材料与结构力学等方面的基础理论研究以及工程结构服役安全和剩余寿命评估等方面的研究工作。
1、深部地下工程的混凝土自止裂技术研究
未来,为了拓展人类生存活动空间,将大力开发利用广阔的深部地下空间,其最直接的利用方式之一是建立大型深部地下工程,深部地下工程建设最重要且最具有经济效益的结构形式是混凝土结构,深部地下工程中的裂纹不像地上工程那样便于发现和治理,急需一种防治混凝土裂纹扩展的新技术,为此,我们提出了混凝土自止裂技术慨念,它是能依靠结构自身防止结构内部裂纹的发展,以达到保护地下工程结构的目的。首次提出了一种大尺寸带圆弧形底边的三角形开口边裂纹试件(a large-size arc-shape boundary single cleavage triangle configuration, ABSCT),其圆弧形底部具有止裂功能。采用高精度裂纹扩展计对裂纹扩展过程进行监测,并基于不同角度的ABSCT试件,利用实验-数值-计算的研究方法对裂纹止裂机理进行了深入研究。研究成果将应用于大型深部地下空间的混凝土结构中,为我国大力发展深部地下空间开发利用提供了重要基础理论技术支撑。

2、Fredlund–Hasan非饱和土固结模型的解析解及其工程应用
提出了一种Fredlund–Hasan非饱和土固结模型的解析解,证明了土体系统存在应力函数,并结合特征值展开法把超孔隙压力表示为模态和正则坐标的乘积级数。由于避免了拉普拉斯变换和逆变换,比其他方法更简单有效,可以便捷地分析非饱和土在各种时变荷载作用下超孔隙压力的消散规律和固结特征。

3、工程结构力学性能测试技术与分析方法研究
近年来,主要从事各类工程结构相关的静力、拟静力、地震模拟振动台相关试验研究。

各类工程结构静力、拟静力、地震模拟振动台试验研究
4、高精密设备厂房超高防微振洁净空间建造关键技术研究及应用
针对高精密设备厂房超高防微振洁净空间建造关键技术进行联合攻关研究,提出了系列创新技术,并在依托建设项目顺利实施,获得中国施工企业管理协会工程科学技术进步二等奖。

高精密设备厂房超高防微振洁净空间建造关键技术研究及应用
5、螺栓连接接触界面损伤破坏机理、跨尺度建模、能量耗散机理等方面的研究
(1)接触界面损伤破坏机理
螺栓连接准静态切向拉伸测试显示,预紧力对连接界面切向承载性能退化具有重要影响,高预紧力-切向交变载荷协同作用下磨损破坏程度显著增加,进而造成宏观滑移力的显著降低;提出的无量纲归一化损伤因子模型可准确揭示延性金属材料界面损伤破坏模式。
(a)
(b)
(c)
(d)
螺栓界面损伤破坏机理研究
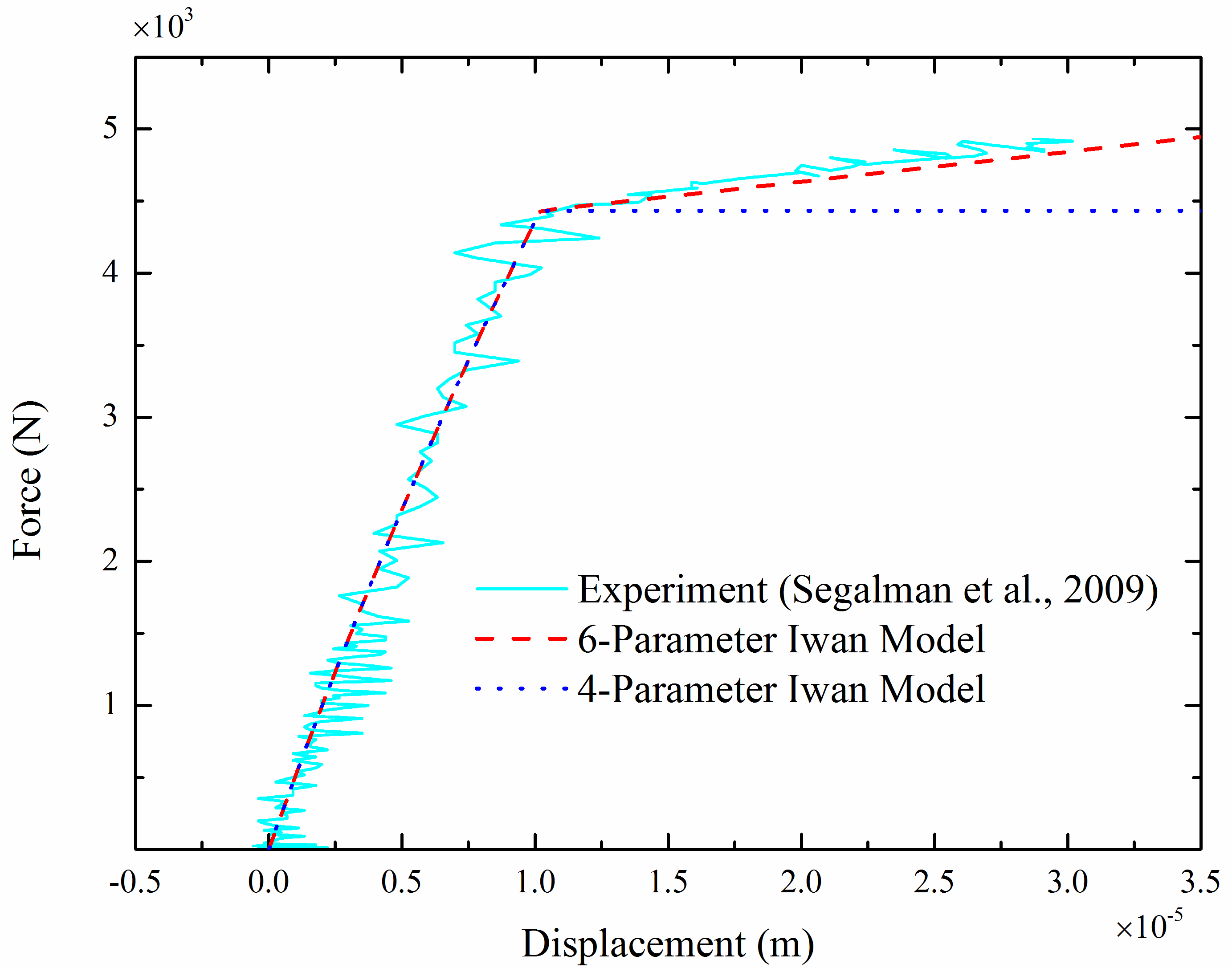
(2)连接接触界面宏观力学行为
针对连接接触界面切向微观滑移阶段的刚度非线性效应与宏观滑移阶段的残余刚度特性,基于Iwan模型框架建立了能够准确描述接触界面非线性滑移行为的六参数本构模型。该模型将界面细观粘滞-滑移效应与宏观载荷-位移关系有效衔接,准确反映了螺栓连接结构的切向刚度和切向承载力随界面相对化滑移的演化规律。
(a)
(b)
(c)
(d)
六参数本构模型
(3)螺栓连接结构能量耗散机理
开展实验工作研究了不同预紧力矩、不同表面粗糙度情况的螺栓连接结构能量耗散特性。测试结果显示,螺栓在切向单自由度受迫振动下的非线性阻尼可准确表征准静态力-位移能量耗散,能量耗散对预紧力矩、表面粗糙度的敏感度均较高:同等激励量级下,粗糙度等级Ra0.8试件能量耗散为Ra2.6试件能量耗散的3倍;预紧力矩10Nm试件为24Nm试件测试结果的2.2倍。另外,名义相同试件能量耗散多次测量结果误差均小于6%。以上结果表明,以能量耗散表征螺栓连接接触界面损伤具有显著优势。
(a)
(b)
(c)
螺栓连接结构能量耗散特性试验研究
巴西圆盘试验是研究含裂纹体拉剪和压剪断裂的常用方法。为了探究巴西圆盘试验的有效性,采用权函数方法,得到了非均布载荷作用下中心裂纹圆盘和双边裂纹圆盘的I、II型应力强度因子和T应力的解析解,并采用砂岩圆盘试件进行了相应的实验研究。研究结果可以为含裂纹体I-II复合型断裂的研究提供相应的理论依据和技术支撑。

非均布载荷作用下的巴西圆盘


应力场和位移场的解析解
7、融合计算机视觉与加速度的结构全场动力响应重构与损伤识别研究
(1)完善了计算机视觉与加速度融合的单点位移重构方法
针对计算机视觉系统在结构位移监测中存在分辨率不足、采样频率有限及标定复杂的问题,根据同一测点加速度和位移的时频关联机制,提出由二者重建位移的互补滤波融合方法,并讨论了重建过程滤波器参数的影响,获得了相比视觉位移高精度、宽频域、低噪声的融合位移;提出由视觉位移和加速度重建位移带通滤波后的同频响应分量自动拟合测点比例因子的方法,推导出比例因子随像素坐标的变化关系,实现了全域视觉位移的自动标定。进一步,以加速度和位移的时频关联机制为物理约束,实现了基于物理信息神经网络的测点位移重构方法。

基于加速度与计算机视觉的高精度测点位移重构
(2)实现了基于稀疏测点响应分离法的全场位移重构
针对单个集中力荷载作用下的梁结构,建立了移动集中力作用下任意边界条件多跨梁动力学模型,推导了其理论位移响应;通过对结构位移响应各组成分量的分析揭示了梁结构在移动集中力作用下的位移模态坐标强迫振动分量中包含了结构对应阶次的振型函数;推导了任意边界条件梁振型函数的解析解,提出通过计算机视觉位移和加速度响应拟合振型函数中未知参数,从而得到空间高分辨率振型的方法;将少量测点的融合位移由模态叠加法得到了梁结构的全场位移时程响应。

基于稀疏测点的全场响应重构
8、MICP协同HPMC改良黄土的性能特征及作用机理研究
(1)MICP协同HPMC改良黄土的力学性能及水稳定性
MICP产生的碳酸钙能够与HPMC一起形成一种由有机和无机相结合的新型结构基质对土骨架进行协同强化,有效提高黄土的强度、刚度和延性等力学性能。高黏性的HPMC能够将细菌团聚在一起,缩短碳酸钙的成核距离,提高结构基质的胶结强度。随着CS浓度从0.5 M增加到1 M,最佳HPMC含量从0.2%增加到0.6%,最大UCS从877.78 kPa增加到1421.82 kPa。0.5 M CS处理的黄土无法产生足够多的碳酸钙对黄土孔隙进行填充,土颗粒间易发生滑动。对于 1 M CS处理的黄土,更多的碳酸钙能够附着在土颗粒表面增大颗粒尺寸和粗糙度,进一步对孔隙和HPMC进行填充,显著提升黄土的力学特性。

MICP协同HPMC对黄土强度和水稳定性的改善机制
(2)MICP协同HPMC改良黄土的抗降雨侵蚀能力
MICP通过碳酸钙胶结形成硬壳层,可小幅提升黄土的抗雨水溅蚀能力,但无法改善黄土的表面疏水性。降雨过程中,部分硬壳层因吸水软化破坏,其下方土体易发生聚集性加剧侵蚀。对于MICP协同HPMC处理的黄土,表面硬度和接触角随着HPMC含量的增大而增大,黄土的表面性能得到明显改善。当HPMC含量为0.4%时,黄土的冲蚀速率接近于零,93.13%区域侵蚀深度低于5 mm,累积冲蚀量降低97.53%。MICP处理黄土中的可溶性盐分容易受雨水冲刷而流失,HPMC加入后盐分流失得到缓解,当HPMC含量超过0.4%后,雨水的pH和电导率趋近于天然土。基于雨滴作用范围的侵蚀深度空间自相关分析表明,随着HPMC含量的增大,全局自相关指数逐渐减小,“高高聚集”和“低低聚集”分别向“低高聚集”和“高低聚集”转化。同时,“高高聚集”和“低低聚集”区域占比逐渐降低,不显著区域占比逐渐增大,MICP协同HPMC通过防止坡面发生局部区域的聚集性侵蚀增强黄土的抗降雨侵蚀能力。

MICP协同HPMC对黄土抗降雨侵蚀特性的影响
