西华大学建筑与土木工程学院绿色高性能材料与结构团队,主要致力于绿色低碳交通土建材料开发及其在组合结构中的力学性能研究。团队先后承担了国家自然科学基金、四川省自然科学基金、教育部春晖计划等国家和省部级项目10余项;获四川省、教育部等省部级科技进步一等奖2项、二等奖4项、三等奖5项;获国家发明专利和实用新型专利20余件;出版专著5部、参编地方与行业标准11部。在各类学术刊物上发表科研论文100余篇,其中SCI收录论文50余篇,已培养研究生15人。
团队目前的主要研究方向包括:绿色低碳水泥基材料与长寿命高强高性能混凝土研发、高海拔严寒地区混凝土耐久性提升、超高强自密实钢管混凝土密实灌注工艺与组合结构力学性能、工业固废资源化应用、混凝土抑温抗裂与抑尘剂技术开发等。相关研究成果如下:
一、超高强钢管混凝土设计制备方法与高程远距离泵送关键技术
开发高效减水低含气超分散调粘保坍外加剂,同时结合优质矿物掺合料降粘,改善高胶材、低水胶比超高强混凝土的粘聚性、流动性,提升含气量稳定性;基于全过程膨胀进行膨胀性设计,开发高能复合膨胀剂,结合内养护减缩剂、多孔矿渣发挥内养护作用协调减缩;采用密实骨架堆积理论与额定粉体材料用量原则,提出了超高强大流态钢管混凝土配合比设计方法。通过模型试验与工程实践,探明了钢管混凝土桥梁管内混凝土性能演变过程,提出了高程远距离泵送工艺与质量控制技术。成果在合江长江一桥(主跨530m钢管砼拱桥,世界第二)、合江长江三桥(主跨507m飞燕式钢管砼拱桥,世界第一)、仁沐新高速犍为岷江大桥(主跨410m,C70)、叙古高速磨刀溪大桥(主跨280m、C100)、沿江高速西宁河大桥(主跨510m、C100)、乐西高速苏坝大桥(主跨350m,C120)等大型桥梁工程应用。

超分散降粘外加剂

超高强大流态钢管混凝土设计制备与工程应用
二、超高强钢管混凝土组合构件力学行为与设计计算方法研究
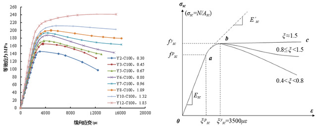
超高强钢管混凝土与普通钢管混凝土一样,具有较好延性,其受压力学行为符合钢管混凝土“统一理论”。研究获得了超高强钢管混凝土轴心受压σsc-ε典型全过程曲线;揭示了超高强钢管混凝土受压、弯、剪工作机制,明晰钢材与管内混凝土强度、含钢率等对构件力学行为的影响,提出含钢率、混凝土强度与力学性能之间的匹配关系,建立了承载力计算与安全设计方法,编制了《公路超高强钢管混凝土技术规程》(DB51/T 2598-2019)。


轴压本构关系
三、大流态、低收缩、抗渗裂高性能混凝土材料研发与工程应用
针对西部山区复杂建设环境、恶劣气候特征等,开发利用隧道洞渣集料、高石粉机制砂等低品质骨料,制备高性能混凝土关键技术及其施工性能、力学性能、耐久性协同提升方法;研究开发高强混凝土材料纳米-毫米-厘米级多尺度纤维增韧阻裂技术,显著提升混凝土韧性与抗裂性,同时创新性应用高吸水率玄武岩粗骨料,保证骨料强度的同时在水化中后期持续释放水分实现内养护,与高效膨胀剂复合作用,双重效应进一步抑制高强混凝土的收缩,显著降低开裂风险。发明了兼具高效减水、保坍、分散与稳泡型专用复合外加剂,通过引气组分与控泡组分的协同作用,调控含气量与浆体粘度,确保钢纤维和骨料均匀悬浮,提升混凝土匀质性,避免高泵压下离析堵管。系列技术集成,形成大流态高强与超高强高韧性混凝土设计、制备与长距离泵送,以及低收缩、抗裂性能提升技术。相关成果已在四川省雅西高速、丽攀高速、叙古高速、遂广遂西高速、仁沐新高速、古金高速等众多高速公路薄壁、高墩大跨桥梁结构应用,取得了显著经济与社会效益。

混凝土多尺度增韧与抗裂技术

自密实高强高韧性混凝土制备与性能调控技术

高石粉机制砂制备的高性能混凝土在遂广遂西桥梁工程应用
四、固体废弃物在建筑材料领域的资源化利用研究
固废的安全与高效化资源化利用不仅能够创造经济价值,还能保障环境安全。骨料在混凝土中的占比最大,将固废制备为轻质骨料有利于固废的高效化利用。利用冷粘结与烧结工艺,制备了不同类别的固废基轻质骨料;研究了固废的理化特性;探索了胶凝材料种类及掺量、烧结温度与时间等对骨料性能的影响机制;得出了轻质骨料的最佳制备工艺;利用微观和化学表征,明晰了骨料的成型机理;通过毒性浸出法测试了骨料的重金属离子浸出率,验证了骨料的环境安全性,为其在建筑材料领域的应用奠定了基础。

固废轻质骨料制备、性能、机理和环境安全性研究
固废大多具
与掺合料相似的化学成分,从而具备一定的火山灰活性,可作为砂浆及混凝土中的掺合料进行使用,减少水泥用量,实现低碳环保目的。为了提升复配掺合料的活性,基于紧密堆积理论和材料特性,采用机械活化、化学活化等方式对复配掺合料进行球磨混合,通过提高比表面积和破坏晶体结构,使其矿物结构朝着不定形和不稳定的方向转变,以此提高活性。

多元高活性固废掺合料制备与活性提升方法研究
中等尺度混凝土由于尺寸的特殊性,时常发生温度裂缝。而通过真空压缩、高温烘烤、耦合剂处理等技术手段,将工业固废材料融合至植物纤维中形成微胶囊可以有效进行抑温抗裂。为了揭示植物纤维微胶囊的物理化学反应,使用球磨、圆环、狗骨、电镜等技术手段对中等尺度混凝土的力学性能及时变行为进行全方位评估。

中等尺度混凝土抑温抗裂及植物纤维微胶囊定装技术研究
六、小麦秸秆基环保复合型抑尘剂研究与应用
针对施工工地扬尘污染严重,既有抑尘手段成本较高且自身也是污染源的现状,本方向研发了一种基于小麦秸秆提取的环保复合型抑尘剂,研究了抑尘剂在作用对象表面的成膜机理,阐明了该网状结构膜阻断作用对象扬尘、同时吸收空气中PM2.5的过程,最终揭示了环保复合型抑尘剂的作用机理。目前该研究内容已经进行了成果转化,并在成都某市政道路修建工地、淮口某混凝土搅拌站、成都某房开工地、西华大学某砂石堆场、西藏某水电站施工现场进行了应用,并取得了不错的效果。本科生科创团队基于上述内容参加比赛获得四川省创新创业大赛省级金奖、iCAN比赛全国总决赛二等奖、四川省大学生创新创业年会铜奖、蓉漂杯创新创业大赛二等奖等成绩。

复合型抑尘剂研发与应用
